
如图所示, 一直搞不清楚地线和零线的原理, 地线的两端分别是什么,保护中性线的两端是什么。漏电流为什么走的地线而回线的电流不走地线。快搞晕了……图中都是我自己标注的,可能有错误。
这个问题挺好,好在两处:第一,标题好,直接切入主题;第二,对保护中性线错误的认识表述很到位,的确是许多人的认知盲区。零线的准确名称是保护中性线。
先说答案:题主的主题本身就是错的。要知道,保护中性线是中性线与地线的合并线,保护中性线包括了地线功能在内。
现在,我来回答问题。
我们看图1

注意到图1中还未出现保护中性线,只有三条相线L1/L2/L3,以及三条相线的中性线N。三条相线对N线的电压均为220V,相线之间的电压则为380V。
我们知道,交流电压的表达式为:
而交流电流的表达式为: 
注意到一个事实,当三相平衡时,中性线总线上的电压和电流有如下特性:

在图1中,具有此特性的只有标注了N字样的中性线总线,而中性线支线是不具有此特性的。
对于中性线支线来说,流过中性线的电流与相线电流大小相等方向相反。
我们再来看图1。图1中的中性线发生了断裂,于是在断裂点的前方,中性线的电压依旧为零,但断裂点的后方若三相平衡时,它的电压为零;但若三相不平衡,则断裂点后方的中性线电压会上升,最高会升到相电压。
事实上,我们发现,只要三相不平衡,尽管中性线并未断裂,但中性线的电压也会上升。

图2中,在变压器的中性点做了接地,此接地在国家标准和规范中,被称为系统接地。注意,这里的接地符号是接大地的意思。系统接地的意义有两个:
第一个意义:系统接地使得变压器的中性线的电位被强制性地钳制在大地的零点位;
第二个意义:给系统的接地电流提供了一条通道;值得注意的是:图2中的N线因为有了工作接地,所以它的符号也变了,变成PEN,也就是题主主题中的保护中性线。保护中性线在这里,保护优先于中性线功能。通过前面的论述我们已经知道,若保护中性线断裂,由于保护性中性线具有中性线功能,所以断裂点后部的保护性中性线电压可能会上升。
事实上,保护性中性线断裂点后部的由电压完全由下式决定:

可以看出,如果
和
各不相同,则三相电压就不平衡,保护性中性线电压
当然也不等于零。
同理,我们可以看到保护性中性线断裂点后部的电流也与三相不平衡有关.
再看图3,我们发现保护性中性线PEN中采取多点接地的方法,以避免出现保护性中性线断裂点后部电压上升的情况。
注意哦,图2对应的接地系统叫做TN-C,而图3对应的接地系统叫做TN-C-S。
现在,我们可以回答题主的问题了。
我们来看图4

零线的准确名称是保护中性线
图4中,变压器中性点接地,而用电设备的外壳直接接地。
正常运行时,我们看到,用电设备的外壳根本就不会有任何电流流过。现在,我们来分析L3相对用电设备的外壳发生碰壳事故的情况。
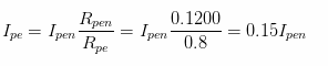
我们首先遇见的是外壳接地电阻有多大这个基础参数。在国家标准GB50054《低压配电设计规范》中,把外壳接地后的电阻以及地网电阻合并叫做接地极电阻,并规定它的值不得大于4欧。但在工程上,一般认为接地极电阻为0.8欧。
其次,我们需要知道保护性中性线电缆的电阻是多少。这个值可以根据具体线路参数来考虑。方便起见,不妨先规定这条保护性中性线电缆的长度是100米,电缆芯线截面是16平方毫米,它的工作温度是30摄氏度,则它的电阻为:

有了这两个数据,我们就可以来进行实际计算了。
我们看图4的下图,我们发现当L3相对用电设备的外壳短路时,保护性中性线中有电流流过,地网中也有电流流过。
注意到保护性中性线电阻和地网电阻其实是并联的,按照中学的电学物理知识,我们知道并联电路的电流与电阻的阻值成反比,也即:

由式1我们看到,地网电流与保护性中性线电阻和地网电阻的比值有关。我们把接地极电阻按4欧取值,把具体参数代入,得到地网电流为:

即便我们按工程惯例接地极电阻取为0.8欧,得到地网电流为:

也就是说,地网电流只相当于保护性中性线电流的3%~15%而已!我们取为中间值,则地网电流只有保护性中性线电流的6%。

零线的准确名称是保护中性线
至此,我们已经回答了题主的问题。
用电设备的外壳发生碰壳故障后,地网电流如此之小,与保护性中性线电流相比,几乎可以忽略不计,那么用电设备的外壳带电将长期存在。如此一来,必然会出现人身伤害事故。
那么,在实际接线中,我们是如何来保护人身安全的?
提示:这个问题的涉及面有点广,与低压配电网的接地形式有关,与用电设备的保护接零及保护接地有关,与TN-C系统下到底采用断路器保护还是采用漏电开关保护也有关。
解答:从以上描述中我们看到,当发生单相接地故障时,地网电流很小,根本不足以推动断路器或者熔断器执行保护。怎么办呢?
国际电工委员会IEC提出了解决方案,这就是接地系统。
在具体描述之前,我们先明确几个概念:
第一个概念,什么叫做系统接地或者工作接地?
系统接地(工作接地))指的是电力变压器中性点接地,用T来表示,没有就用I来表示。
第二个概念,什么叫做保护接地?
保护接地指的是用电设备的外壳直接接地,用T表示。若外壳接到来自电源的保护性中性线或者地线,则用N表示。
第三个概念,什么叫做接地形式?
接地形式有三种,分别是TN、TT和IT。TN下又分为TN-C、TN-S和TN-C-S。
知晓这几个概念后,我们来看看IEC给出的有关TN-C和TT系统的原图。注意,这两幅图是不容置疑的,是有关接地系统的权威解释。
第一幅图:TN-C接地系统和TN-S系统

零线的准确名称是保护中性线
由于电路中有系统接地,但负载外壳没有直接接地,而是通过保护性中性线PEN间接接地,所以该接地系统叫做TN-C。
图中左上角就是变压器低压侧绕组,我们看到它引出了三条相线L1/L2/L3和一条PEN保护性中性线。注意到保护性中性线的左侧有两次接地,第一次在变压器的中性点,这叫做系统接地,第二次在中间某处,叫做重复接地。重复接地的意义就是防止保护性中性线断裂后其后部保护性中性线的电压上升。
值得注意的是负载。我们看到中间的负载PEN首先引到外壳,然后再引到保护性中性线接线端子。这说明,保护性中性线PEN是保护优先的。也因此,
第二幅图:TN-C-S接地系统

TN-C-S区别于TN-C,就在于PEN在重复接地后分开为N中性线和PE保护线。
注意到TN-C-S的-S侧负载的外壳是接在PE线上的,而TN-C-S的-C侧则是接在PEN线上,因此前者是保护接地,后者是保护接零。两者相比,保护性中性线不能中断,而PE线同样也不能中断。
在居家配电系统和学校、企事业单位配电系统中,TN-C-S非常普遍。
第三幅图:TT接地系统
从符号代码看,TT接地系统有系统接地,但它的保护接地采取直接接地的方式实现的。

TT接地系统变压器的中性点直接接地,而用电负载的外壳也独立直接接地。构成保护接地。
值得注意的是:我们在前面已经描述过了,当发生单相接地故障时,流经地网的电流实际上只有N线电流的6%左右。因此,TT系统下发生的单相接地故障电流相对TN要小得多。
现在我们来对比TN系统和TT系统的异同点:
1.对于TN系统和TT系统来说,由于首字母都是T,说明这两个系统都有系统接地;
2.由于TN系统的N线与PE线在系统接地处或者重复接地处是连在一起的,PEN则完全合并在一起,而用电设备的外壳直接与PE或者PEN连在一起,因此发生单相接地故障时,故障电流会比较大,近似于相线对N线的短路。所以,TN系统又叫做大电流接地系统;
TT的系统接地与保护接地完全独立,单相接地故障电流要返回电源,必须通过地网,并且电流较小。所以,TT系统又叫做小电流接地系统。
有了接地系统的解释,我们就可以回答问题了。
1.需要适当地放大接地电流
适当地放大接地电流,使得用电设备的前接断路器可以执行过电流保护操作,这就是具有大接地电流的TN系统。
2.加装漏电保护装置RCD。
我们来看图5:

图5中,我们看到变压器的中性点直接接地,然后分开为N和PE,并且PE一直延伸到负载侧并接到用电设备的外壳上。所以,此接地方式属于TN-S接地系统。
当用电设备发生碰壳事故后,PE线的电阻当然小于地网电阻,并且PE的最前端还与N线相连,接地电流被放大到接近相对N的短路电流,则距离用电设备最近的上游断路器会执行过电流跳闸保护。
图5中,我们还看到从二级配电用四芯电缆引了三条相线和N线到负载侧,PE线被切断了,而用电设备的外壳直接接地。于是当用电设备发生碰壳事故后,接地电流只能通过地网返回电源。此接地方式属于TN-S下的TT接地系统。
由于TT下通过地网的接地电流很小,所以IEC和国家标准都规定了必须安装漏电保护装置RCD。
RCD的原理如下:

未发生单相接地故障时,三相电流合并N线电流后的相量和为零。当发生漏电后,某相电流会增加,并且漏电流经过地网返回电源,则N线电流依然与先前一致。于是,零序电流互感器的磁路中会出现磁通,其测量绕组中当然会出现电流,并驱动检测和控制部件使得前接断路器执行漏电保护动作。








